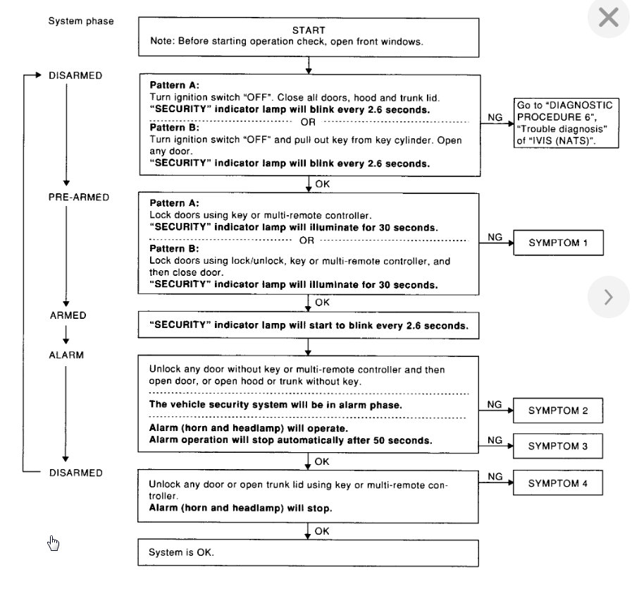
Car will not start after replacing battery

2001 INFINITI I30
196,000 MILES • 3.0L • 6 CYL • 2WD • AUTOMATIC
Avatar
THISER082967
  • MEMBER
  • 1 POST
I put a new battery in and it won't start now. When I connected new battery the horn went off used the key in driver's door to shut it off. But car won't start. I have lights,etc. but engine won't turn over.
Nov 1, 2019 at 7:00 AM
Advertisement
Avatar
KASEKENNY
  • CERTIFIED EXPERT
  • 18,907 POSTS
Do you have multiple keys? Have you tried using another key?

If so it sounds like the immobilizer system has lost the key programming and you are going to need a scan tool to relearn them.

Let me know if you have access to a scan tool and we can go from there. Thanks
Nov 1, 2019 at 6:19 PM