Hi and thanks for using 2CarPros.com.
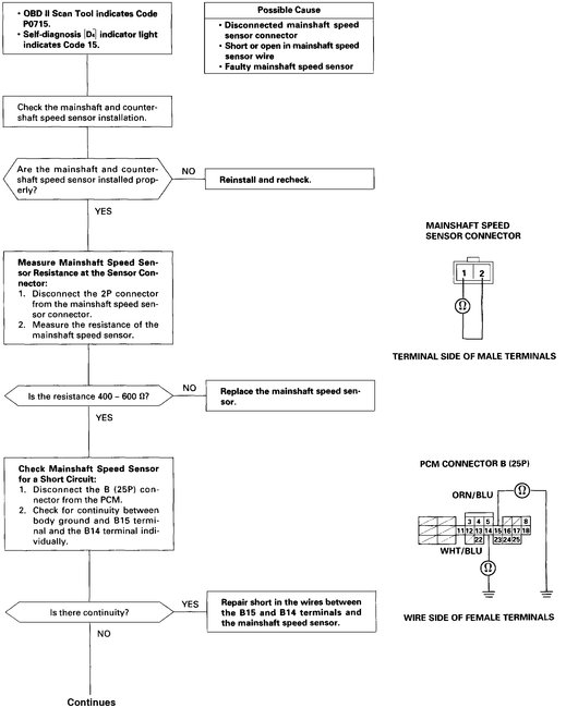
There can be a few problems causing this. The first code, P0715 deals with the main-shift/counter-shaft speed sensor. The first two pictures I attached are a diagnostic flow chart to locate and identify this problem. Please keep in mind, this code does not always mean there is an electrical problem in the main-shaft or counter-shaft speed sensor circuit; it may also indicate a mechanical problem in the transmission. Any problem causing irregular counter-shaft to main-shaft speed difference can cause this code.
A P0401 deals with the EGR so I do not think that has anything to do with your problem.
Code P0740 does deal with the TCC solenoid. I have attached the diagnostic flow chart for that too. It is pictures 3 and 4.
Let me know what you find after reviewing these tests.
Take care,
Joe
Images (Click to enlarge)
Aug 24, 2018 at 6:44 PM