☰
Login
Join
×
Home
Answered Questions
Repair Topics
Repair & Service Guides
Popular Questions
Warning Lights
Trouble Codes
How It Works
Testing / Diagnostics
Symptoms
Videos
Login
Become a Member
Home
Honda
Civic
Trouble Codes
P Codes (Powertrain)
P0700 - P0799
P0715
Codes P0715 and P0700
1996 HONDA CIVIC
400 MILES • 1.6L • 4 CYL • AUTOMATIC
BLACK HUSSLE
MEMBER
1 POST
FOLLOW
Code P0715 Transmission input speed sensor.
Code P0700 Transmission Control Solenoid.
Dec 31, 2019 at 2:22 AM
Advertisement
ASEMASTER6371
CERTIFIED EXPERT
52,796 POSTS
Good morning,
The 700 is a general code that means there is another code.
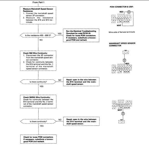
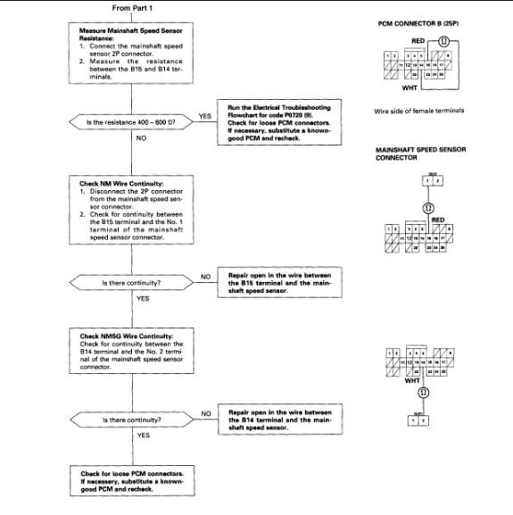
The 715 is for the speed sensor. It could be the sensor but it also could be several other items as well. I attached the possibilities as well as the flow chart for the code.
Roy
Images (Click to enlarge)
Dec 31, 2019 at 6:23 AM