Valve clearance setting procedure needed

2010 CHEVROLET SPARK
311,341 MILES • 0.8L • 3 CYL • 2WD • MANUAL
Avatar
TEAMBSI
  • MEMBER
  • 38 POSTS
Hi, please provide me with the valve clearance settings and steps. My cylinder head only has one rocker shaft.
May 30, 2022 at 7:44 AM
Advertisement
Avatar
SQM
  • CERTIFIED EXPERT
  • 6,383 POSTS
Hello,

See attached for the valve adjustment procedure.

Let me know of any questions.

Thank you.
May 30, 2022 at 8:00 AM
Avatar
TEAMBSI
  • MEMBER
  • 38 POSTS
Hi, please provide me with the detailed valve clearance setting. I got the clearance on this platform, but it was for the cylinder head with the 2 rocker shafts. Mine only has 1 rocker shaft.
Jan 8, 2023 at 3:45 PM (Merged)
Advertisement
Avatar
STRAILER
  • CERTIFIED EXPERT
  • 53,855 POSTS
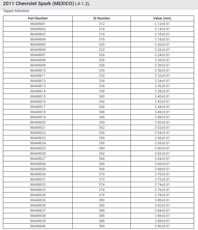
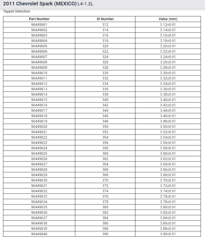
We only show two camshaft engines for this car, can you double check the year and engine type please? Here is what they show in the images below.
Jan 8, 2023 at 6:03 PM
Avatar
TEAMBSI
  • MEMBER
  • 38 POSTS
Hi Ken,

Thanks for your response. As for the type of engine, mine is the F8CV COIL PACK engine. Your one is the Carburetor. I'm including my VIN number as well.
Regards,
Bernard
Jan 8, 2023 at 9:30 PM